我們知道LED顯示屏怕熱、怕水,熱對LED顯示屏性能的影響是致命的,直接影響顯示屏使用過程的穩定性以及顯示屏的使用壽命。因此,為了減少熱量對顯示屏的影響,我們需要清楚顯示屏的散熱特點,進而對顯示屏做出合理的散熱設計。針對LED顯示屏的散熱量,本文進行了推導演算,以期對LED顯示屏的研發設計以及LED顯示屏的工程安裝能起一定的借鑒作用。
一、LED顯示屏散熱量的計算
1、條件設定
設,LED顯示屏的像素間距為P(單位mm),LED顯示屏的面積為S(單位m2),LED屏的亮度為L屏(單位cd/m2),LED顯示屏的輸入功率為W屏(單位W)。
設,所用RGB燈珠的光強分別為IR、IG和IB(單位cd),對應的輸入功率為WR、WG和WB(單位W)。
2、RGB組成的像素點的光輻射功率計算
計算每一個像素點,在白平衡時能產生的光輻射功率,計算可以如下:
因為在顯示屏白平衡時,RLED、GLED和BLED的強度比約為3:6:1,因此對于亮度為L屏(單位cd/m2)的顯示屏在白屏的情況下,每個像素點的光強度I像素=L屏(cd/m2)÷點數/m2÷η(η為光的系統損耗度,一般可取0.9左右);則R、G、B所占的光強值分別為:

則LED顯示屏要達到亮度為L屏的白平衡時,R、G、BLED燈的輸入電功率可近似為:

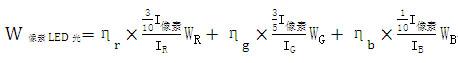
設上述R、G、BLED燈珠芯片的電光轉換效率分別為ηr、ηg和ηb(電光轉換效率LED芯片將電能轉變為光能的效率)。則上述每像素RGBLED輻射的光功率為:

每像素RGBLED產生的熱功率為:

3、整塊LED顯示屏光的總輻射功率的計算
由于顯示屏的像素點個數=顯示屏的面積/像素間距的平方=
所以,LED顯示屏輻射的光功率:
W屏 LED 光=顯示屏像素點個數×每個像素點產生的光功率=

LED顯示屏LED燈產生的熱功率:
W屏 LED 熱=顯示屏像素點個數×每個像素點產生的熱功率
4、LED顯示屏產生的熱功率
LED顯示屏產生的熱量除來源于LED燈產生的熱外,還包括了電子電路、驅動系統等產生的熱,整個LED顯示屏產生的熱量的計算可參照以下2個方式。
1)根據顯示屏的輸入電功率計算

2)估算法計算
2011年3月版LED屏顯世界P100的文獻《超低壓差LED驅動讓LED顯示屏節能32.8%》中提到:①顯示屏LED光源的發熱量占整屏發熱量約50%;②控制器及連接線等占整屏發熱量約5%;③驅動部分發熱占整屏發熱量約45%。
根據該文獻,可以估算出LED顯示屏產生的熱功率:

上述是根據LED顯示屏最大亮度的條件下,計算得到的LED顯示屏的熱功率,而在LED顯示屏的實際工作中,由于顯示屏不是一直以最大亮度工作,所以產生的熱會少些。
二、顯示屏散熱量在設計中的應用
通過上述推導,計算出了LED顯示屏的散熱量。參照散熱量,可以指導我們進行顯示屏箱體的散熱結構設計以及工程安裝時降溫系統的設計。如在工程安裝時,根據顯示屏的散熱量,對顯示屏降溫系統的進風設計可如下:
已知LED顯示屏產生的熱功率為W熱,假設顯示屏是通過鋼結構固定密閉安裝,則顯示屏與外界環境通過熱傳導交換的熱功率為:

式中:
S:鋼結構殼體的面積,m2;
tw:顯示屏所處的外界環境溫度,℃;
tn:鋼結構殼體內部溫度,℃。
K:鋼結構殼體的傳熱系數,W/(m?℃):

其中:
ɑ1為鋼結構內表面的表面傳熱系數,W/(m · ℃);
ɑ2為鋼結構外表面的表面傳熱系數,W/(m · ℃);
δ1、δ2…為組成鋼結構各層材料的厚度,m;
λ1、λ2…為組成鋼結構各層材料的導熱系數,W/(m · ℃);
則整個顯示屏需要進行空氣對流散熱的熱量為

由空氣進行對流散熱的公式:

其中:
C:空氣的比熱容,kJ/(kg?℃)
ρ:空氣的密度,kg/m3
L:空氣對流量,m3/s
tn:鋼結構殼體內部溫度,℃
tl:降溫系統輸入的冷空氣溫度,℃
知降溫系統需要輸入冷空氣的進風量:

即如果要保證顯示屏的工作溫度不超過tn℃,則降溫系統需輸入溫度為tl℃的冷空氣的量約為

免責聲明:本文來源于深圳市艾比森光電股份有限公司,本文僅代表作者個人觀點,本站不作任何保證和承諾,若有任何疑問,請與本文作者聯系。