投影鏡頭偏心是指顯示芯片(DMD、LCoS、LCD等)的中心與鏡頭光軸不重合。普通鏡頭的光線是以鏡頭中心為基準進行投射的,因此若將投影機平放于桌面而不使用支架,一部分圖像可能會投射到桌面上,導致畫面顯示不完整。
偏心鏡頭正是為了解決這一問題而設計。通過將顯示芯片相對于光軸進行偏移,使得投影機在水平放置時,畫面依然能夠完整投射到正前方的屏幕上,從而避免圖像被切割。具體示意圖如下:

雖然將投影機傾斜也可以在沒有偏心的情況下使畫面完整,但這樣會導致畫面出現嚴重的梯形畸變,盡管可以通過算法對其進行
校正,但每次擺放位置的不同都會使梯形畸變的程度不同,難以進行有效的控制,同時傾斜放置還會造成清晰度不同的問題,難以根本地解決問題。
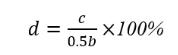
假設顯示芯片的長為a,寬為b,芯片偏移量為c,則系統的偏心量d為:

偏心量d是一個百分數,當偏心量是100%時,代表芯片移動的量為屏幕寬度的一半。為了保證像面不被遮擋,偏心量d需要≥100%。偏移后的總半像高y可由以下公式計算:

偏移前和偏移后總體的焦距保持一致,偏移后總的FOV可由以下公式進行計算:

根據新得到的總半像高y和總視場角FOV就可以進行偏心投影
鏡頭的設計。